软件开发工作室在寒假期间,通过层层考核在校内选拔出11名同学参加江苏省蓝桥杯省赛。这11位同学通过一个月的算法练习,我们在4月18日于南京交通职业技术学院参加蓝桥杯算法省赛。
 
 
 
比赛前一周,指导老师刘娴老师强调算法基础和介绍了一些考试特殊的小技巧。通过考场上四个小时的努力,大部分同学都认为题目十分简单,相比于前一个月刷的题目,考试的题目都比较简单,预测考试不错。
 
 
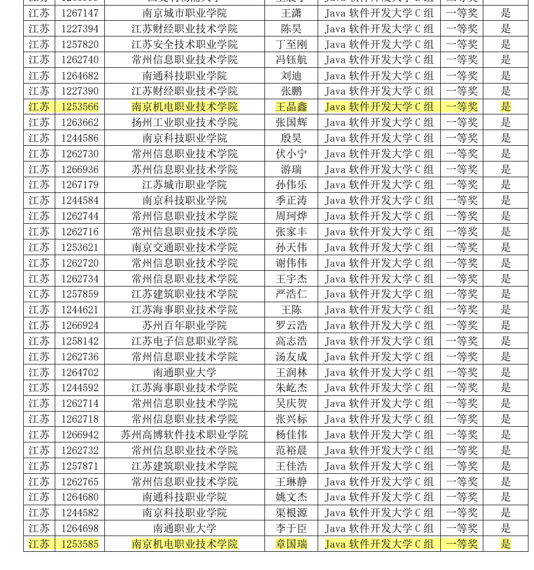
蓝桥杯比赛成绩于4月28日在官网发布,我校于十二届蓝桥杯软件类C组比赛再创辉煌,11人参赛,7人获奖。其中,王晶鑫、章国瑞同学获得一等奖,获得了去北京参加蓝桥杯国赛的机会,陈志飞获得二等奖,谢兴铧、杨宇涵、邹文章、郑卫获得三等奖的好成绩。
 
[ 关闭 ]
  