星空体育·(中国)官方网站
校长邮箱
书记邮箱
信息公开
资源下载
管理员
融合门户
联系方式
导航
XingKong Sports
学校概况
学校简介
历史沿革
现任领导
三风一训
学校标识
学校风貌
全景展示
机构设置
管理部门
党委工作部
党委宣传部
校长办公室
纪委办公室
人事处
财务处
教务处
学生工作处
团 委
保卫处
后勤处
培训处
质量管理与控制办公室
图书馆
科研及校企合作处
校友工作办公室
资产管理处(招投标管...
审计处
关工委
教学部门
信息工程系
机械工程系
电子工程系
人文社科系
自动化工程系
蓝岛创客空间
智能制造学院
继续教育学院
马克思主义学院
体 育 部
党群在线
党建工作
工会工作
教育教学
教学平台
教务系统
学生工作
科普教研
科普活动
科研动态
招生就业
招生信息网
就业信息网
学校文化
机电校报
学生社团
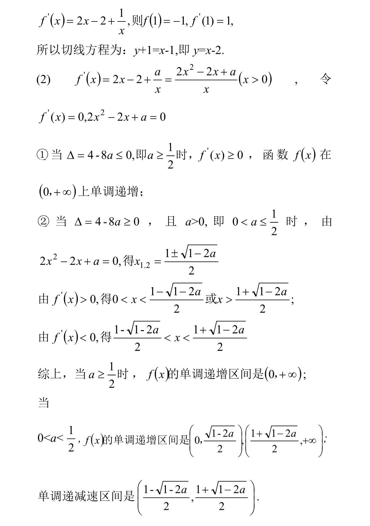
2019年江苏省提前招生真题卷(数学)
发布部门:
发布时间:2020-04-07
浏览次数:
145
点击下载
2019年江苏省提前招生真题卷(数学)
关闭
1XBET网页版
|
米兰(milan)中国官方网站
|
华体会网页版登录
|
火狐(中国)HUOHU官方网站
|
开云(中国)Kaiyun·官方网站
|
完美官方网站
|
U8国际·(中国区)官方网站
|
同花顺·同花顺(中国)官方网
|
aty爱体育·(中国)平台官方网站
|